DOI: 10.37188/OPE.20212902.0211
摘要 针对激光多波长干涉绝对测距构建多级合成波长的需求,锁定飞秒光频梳的可调谐激光器(External Cavity Diode Laser,ECDL)输出激光波长大范围自动偏频。提出Lock方法。 首先,设计了光栅+双凸透镜梳状滤波器的拍频信号检测单元,实现了大范围ECDL激光波长和目标梳齿的拍频检测。 然后利用锁相放大原理对拍频信号进行频率和相位检测,具有捕获带宽大、相位检测范围广、相位检测精度高等优点。 然后,利用多重闭环控制实现了宽波长ECDL输出激光器的自动调节和偏频锁定。 实验结果表明,该方法实现了ECDL对10 nm波长范围内光频率梳的自动锁定,拍频信号的信噪比平均值约为35.9 dB; 4小时内,ECDL激光频率的标准偏差为1.49 kHz,1 s平均时间的相对Allan方差为4.76×10-12光的频率与波长的关系,满足宽范围波长调节和高精度稳频精度要求干涉测量法。
关键词 可调谐激光器; 激光稳频; 偏置频率锁定; 拍频检测; 飞秒光学频率梳; 频率和相位检测器
1 简介
在激光多波长干涉绝对测距技术中,通常采用多台固定波长激光器或一台可调谐激光器(External Cavity Diode Laser,ECDL)作为光源,构建从大到小的多级合成波长。 其中,大合成波长实现大范围测量,小合成波长实现高精度测量。 当使用ECDL输出波长相差较大的两个单波长构建小合成波长时,需要输出波长范围宽、频率稳定的可调谐激光器。 飞秒光频梳 (OFC) 是一种广谱梳状光源,包含大量等间距、高稳定性的光梳。 它采用偏置锁频技术,将ECDL锁定到OFC,可实现激光波长高、精度稳定,但构建多级合成波长,需要解决拍频信号检测和自动频偏问题锁定在 ECDL 的宽波长范围内。
ECDL和OFC的拍频信号检测主要有直接检测法和梳状滤波法。 直接检测法结合ECDL和OFC直接照射光电探测器获得拍频信号,可实现较宽波长范围内的拍频信号检测,但大量不参与的梳齿引入的散粒噪声拍频会降低信号噪声比,达不到偏置频率锁定稳定性所需的 30 dB。 梳状滤波方法利用光栅和狭缝滤除OFC中大量不参与拍频的梳齿,降低了散粒噪声对拍频信号的影响,信噪比可以增加到 40 分贝。 相应的波长检测范围约为1nm。 但是,当ECDL波长调整到几纳米时,光栅衍射光束会发生大角度偏转,使ECDL光束和目标梳齿无法照射到光电探测器,造成拍频损失信号。 因此,当ECDL锁定到OFC时,上述方法难以实现宽波长范围内的高SNR拍频信号检测。
ECDL在宽波长范围内自动调整锁定到OFC时,需要实时判断ECDL频率与目标梳齿的频率差。 相位误差并通过比例积分 (PI) 闭环控制调整 ECDL 频率,最终将其偏移频率锁定在目标梳上。 鉴相精度高。 现有的模拟鉴相器鉴相器鉴相精度高,但鉴相范围只有π弧度,容易出现跳周期问题,导致捕获带宽小。 数字频率和相位检测器具有较大的捕获带宽和相位检测范围,但可能存在±1的误差,相位检测精度仅为2πrad。 因此,兼顾采集带宽和相位检测精度的频率和相位检测是自动锁频的关键。
针对上述问题,本文提出了一种基于光栅+双凸透镜梳状滤波器的拍频信号检测方法和一种基于锁相放大器原理的频率和相位检测方法,实现了ECDL波长的自动偏移频率锁定到OFC 在很宽的波长范围内。
2 基于OFC的ECDL激光器宽范围自动偏置锁频
本文设计的ECDL波长在宽范围内自动锁定到OFC的原理如图1所示。实验装置包括三个模块:光源系统、拍频信号检测单元、频率和相位检测和锁相单元。
图 1 在宽范围的 ECDL 激光波长中自动偏移频率锁定到 OFC 的原理。 (a) 光源系统; (b) 宽波长范围拍频信号检测单元; (c) 锁相单元)激光源; (b) 宽波长范围内的 BDU; (c) 锁相单元
2.1 波长范围宽、信噪比高的激光拍频信号检测
当ECDL稳定锁定到OFC时,一般要求拍频信号的信噪比优于30 dB。 光电探测器拍频信号信噪比的数学模型可以简化为:
,
(1)
在:
和
分别代表光电探测器的量子效率和带宽,
代表单个光子的能量,
表示单个梳齿的功率,
表示激光功率与梳状功率之比,
表示进入光电探测器的梳齿数,
是ECDL的力量。 式(1)表明,当激光功率和单个梳齿功率一定时,减少进入探测器的梳齿总数或减小探测器的带宽可以提高节拍的信噪比满足拍频波长范围时的频率信号。
为了实现宽波长范围和高信噪比的拍频检测,本文设计了一种光栅+双凸透镜梳状滤波器的拍频检测单元,如图1(b)所示。 ECDL激光器和OFC激光器通过光纤组合输出。 倒置扩束器将光束收窄至 1 mm,然后进入光栅。 经光栅衍射的发散光束通过凸透镜1、狭缝掩模和凸透镜2,然后照射到光电探测器。 拍频信号是在传感器感光区(即A点)之后得到的。 在图1(b)的光路中,凸透镜1(焦距f1,焦点在O点)将光栅衍射的发散梳齿转换成平行光,待锁定波长范围内的梳齿可以通过狭缝遮光板,通过凸透镜2(焦距为f2,焦点在A点)会聚后到达光电探测器。 可以看出,在不进行任何光路调整的情况下,任何处于拍频检测波长范围内的ECDL激光器,经柱状透镜聚焦后,均可与相邻的梳齿聚焦至A点,产生拍频信号。 作为对比,图1(b)中的虚线OB和OC表示在没有双凸透镜的情况下,两束不同波长的ECDL激光经光栅反射到达检测面的不同位置,检测器无法获得拍频频率信号。
对于重复频率为 250 MHz、波长为 (780 ± 20) nm 的飞秒 OFC,相邻梳齿之间的波长差为
,梳齿总量约为
.当拍波长检测范围为
时,需要进入检测器的梳齿数只有
. 因此,为了提高拍频信号的信噪比,需要过滤掉6万个不参与拍频的梳齿。 图1(b)中狭缝的光宽d与凸透镜1的焦距应满足下式:
,
(2)
在公式
表示光栅的角色散率。
2.2 高精度大捕获带宽拍频信号的频率和相位检测
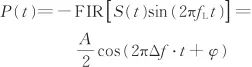
基于锁相放大器的拍频信号的频率检测、相位检测和锁相原理如图1(c)所示。 滤波放大后的拍频信号经125MHz、16位模数转换器采样,进入现场可编程门阵列(Field Programmable Gate Array,FPGA)进行鉴频鉴相处理。 FPGA开发板使用相同的参考时钟。 拍频信号可以表示为:
,
(3)
在:
,
和
分别代表差拍信号的幅度、频率和相位,
表示时间。
拍频信号分别与频率合成器产生的本振信号合成
和
混频,再低通滤波得到正交信号
和
:
,
(4)
,
(5)
在:
指示 FIR 低通滤波器操作,
指示拍频信号与本地振荡器信号之间的频率差。
ECDL锁定前,计算机通过控制器和波长计在(fL±20)MHz范围内调整fb。将FIR低通滤波器的截止频率设置为20MHz,则
可对±20MHz以内的拍频信号进行鉴频鉴相,捕获带宽为40MHz。
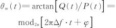
通过坐标旋转算子 (CORDIC) 的正交信号
和
执行反正切运算以获得差拍信号的小数相位差
:
,
(6)
在:
表示余数关系,即
等于相位差
对于 2π 的余数,
的值为-π~π。
当ECDL未锁定时,拍频信号与本振信号的频率差不为零(
),
呈锯齿状周期性变化,每个周期有从π~-π或-π~π的相位跳变,在偏置锁频时容易出现跳周期问题。为了解决跳周期问题,本文提出纸
执行相位展开以增加相位检测范围。展开相位差
表示为:
,
(7)
其中k表示θw(t)变化2π的次数。展开相位差
在FPGA中用16位整数表示,高8位为整数循环数k,低8位为小数相位差
.
125MHz、16位数模转换器转换为误差电压信号,ECDL电流通过PI控制器闭环调制,实现ECDL到飞秒OFC的偏置频率锁定。
基于锁相放大器的频率检测和相位检测方法、模拟相位检测方法和数字频率检测和相位检测方法的相位检测结果对比如图2所示。模拟相位检测范围鉴相器只有π弧度; 数字频率检测鉴相器的鉴相范围大,但误差±1时鉴相精度仅为2πrad。 本文设计的相位检测方法采用相位展开,具有相位检测范围大、相位检测精度高等优点,可以
系统中的拍频信号经过频率和相位检测处理,相位检测范围为2π×28rad,相位检测精度为2π/28rad。
图2 三种不同鉴相器结果对比
2.3 ECDL激光宽范围自动锁频
在图1(a)所示的光源系统中,ECDL的输出激光波长/频率有三种调制方式:直流电机和压电驱动器(PZT)分别通过控制外接角度实现纳米级和数十GHz级。腔镜。 激光波长/频率调整; 电流调制端控制激光二极管电流,实现数百MHz激光频率的快速调节。 图3为本文实现的ECDL波长在大范围内的自动调整和偏置锁频过程。 首先用波长计测量ECDL频率fM,并将fM与设定的目标频率fT进行比较。 当两个频率值相差较大(大于4GHz)时,通过直流电机调制端快速粗调激光频率; 当频率差小于4GHz但仍大于20MHz时,通过PZT调制端微调激光频率; 当频率差小于20 MHz时,启动图1(c)所示的锁相系统,通过电流调制实现ECDL频率的偏移。 频率锁定。 锁定后的ECDL频率为:
,
(8)
其中:frep和fceo分别为OFC的重复频率和偏置频率,锁定时
, 梳数
它可以根据波长计测量的 ECDL 频率计算得出。
图3 ECDL波长自动调整和宽波长范围内的偏频锁定流程图
图1(c)中,为避免ECDL激光器频率长期漂移而导致电流调节失锁,实时监测PI控制器的输出电压。 当输出电压超过阈值时,对PZT偏置电压进行微调,在闭环控制的作用下,PI控制器的输出电压会回到阈值范围内。 结合电流调制的短期锁频和PZT的长期频率漂移补偿,实现ECDL频率的长期锁定。
当ECDL处于锁定状态时,如果改变目标梳频fT,系统会自动解锁激光器,通过电机粗调和PZT微调将其频率调整到fT左右,然后重新开始锁相。 因此,该方法可以自动调整ECDL频率,并将频率锁定到不同的梳齿。
三、实验及结果分析
为了验证所设计的激光波长宽范围拍频检测和自动偏频锁定系统的有效性和可行性,搭建了如图4所示的实验装置。使用了来自Menlo System的FC1500-250飞秒OFC系统,frep fceo分别为250MHz和-20MHz,光谱范围为(780±20)nm,功率约为150mW; 待锁定的ECDL为New Focus的TLB6712,波长765~781 nm,功率约25 mW; ECDL频率采用Highfines公司的WSU30波长计测量,精度为30MHz; 利用FPGA开发板设计了一种基于锁相放大原理的鉴频鉴相器,结合New Focus公司的LB1005 PI控制器实现偏置频率锁定,本振信号频率
设置为 31.25 MHz。 飞秒OFC和FPGA开发板溯源到同一个频率参考(Menlo System公司的GPS-8),平均时间为1 s时相对稳定度约为4×10-12。 开展了较宽激光波长范围内拍频信号的检测、长期锁定稳定性试验、大规模自动调整和锁定实验。
图 4 宽波长范围内 ECDL 差拍信号检测和自动偏频锁定实验装置
如图4所示,OFC和ECDL的合光经过光栅凸透镜1后,在激光屏蔽处形成宽度约18mm的光带。 光栅的角色散约为2.512 mrad/nm,凸透镜1的焦距为100 mm。 根据公式(2),当遮光板透射的激光波长为770-780nm时,狭缝宽度应为2.5mm左右。 考虑到ECDL光束直径约为1 mm,实验中将狭缝宽度调整为4 mm左右。 拍频信号由Newport公司的1601FS-AC光电接收器检测。 接收器中硅PIN光电二极管的光电转换效率约为0.5 A/W,带宽为30 kHz~1 GHz,低噪声放大器的增益为15 。 照射到接收器的总 OFC 功率约为 0.46 mW,ECDL 功率约为 0.66 mW。 接收机输出信号经过90MHz低通滤波器后,信噪比的理论值约为38.5dB。
3.1 激光波长宽范围拍频信号检测
图5为ECDL输出波长为770-780 nm时拍频信号的检测结果。 从图中可以看出,当分辨率带宽(Resolution Band Width,RBW)和视频带宽(Video Band Width,VBW)均为100 kHz时,波长为775 nm时信噪比最低,约为34.3 dB,波长信噪比在773 nm处最高,达到36.8 dB,拍频信号的平均信噪比约为35.9 dB,满足要求偏频锁定时拍频信号的信噪比高于30dB。 实验结果表明,本文设计的光栅+柱状透镜梳状滤波方法可以实现10 nm宽波长范围内高信噪比的拍频信号检测。
图 5 ECDL激光波长770~780 nm拍频实验结果
图5拍频信号在770-780 nm的频谱和SNR(信噪比)实验结果
3.2 ECDL长期锁稳定性测试
图6为ECDL长期锁定OFC的1 537 397梳齿时的稳定性测试结果。 差拍信号频率、OFC重复频率和偏移频率由4通道频率计测量,ECDL的光频率按公式(8)换算,其中频率计的计数时间设置为1 s。 从图6可以看出,在4 h内,拍频信号的频率波动小于±3 Hz,标准差为0.51 Hz; ECDL的光频率波动小于±6.50 kHz,标准差为1.49 kHz。 进一步分析表明,OFC在4 h内的重复频率波动在±4 mHz以内,第1 537 397个梳齿对应的频率波动为±6.15 kHz。 这表明经本文设计的偏频锁定系统锁定后,拍频信号频率非常稳定,对ECDL光频的影响可以忽略不计。
图6 ECDL锁定光频梳齿4小时稳定性测试结果
图6 提出的偏频锁定方法4小时稳定性测试结果
图 7 显示了根据图 6(b)所示的 ECDL 激光频率计算的相对 Allan 方差。 可以看出,平均时间为1 s时,相对Allan方差达到4.76×10-12,平均时间为2 048 s时,相对Allan方差达到1.48×10-15。 这表明本文设计的偏频锁定系统可以将ECDL频率长期稳定地锁定在飞秒OFC上。
Fig.7 Frequency stability of ECDL 图7 ECDL频率稳定性
3.3 激光波长宽范围调节及自动锁定
为了验证所设计系统在较宽的ECDL波长范围内的自动调节和偏频锁定性能,进行了10 nm宽波长、nm级波长切换锁定实验。 ECDL输出的初始波长控制在770nm,间隔2nm,自动调整到每个波长并锁定,最后回到770nm。 图8为波长计记录的波长变化数据。 在从一个波长切换到另一个波长的过程中,系统自动完成偏置频率锁的解锁,波长粗调到下一个要锁定的梳齿附近,锁定到新的梳齿,等步骤无需人工干预。 在图 8 中,从解锁 ECDL 到将其锁定到下一个目标波长平均需要大约 34 秒。 自动锁定所需的时间与两个锁定波长之间的间隔无关。 时间主要消耗在ECDL电机或PZT调整后。 等待波长稳定。
图8 ECDL激光宽波长范围自动调整锁定实验结果
4。结论
本文介绍了一种锁定到飞秒 OFC 的 ECDL 的输出激光波长的宽范围自动偏置锁定方法。 设计了一种光栅+双凸透镜梳状滤波器的宽波长范围高信噪比激光拍频信号检测方法。 在770~780 nm波段,拍频信号的平均信噪比高达35.9 dB; 基于锁相放大器原理的频率和相位检测器,捕获带宽高达40 MHz,相位检测范围为2π×28rad,相位检测精度高达2π/28rad; 实现ECDL波长在10nm以内自动调整,偏频锁定到OFC。 ECDL锁定后的长期稳定性测试表明,4 h内拍频信号的频率波动小于±3 Hz,标准差为0.51 Hz; ECDL光频波动小于±6.5kHz,标准差为1.49kHz; 平均时间为1 s,相对艾伦标准差为4.76×10-12,表明ECDL激光器锁定后的频率稳定度接近参考频率。 本文设计的激光波长宽范围自动锁频系统具有偏频锁定精度高、激光频率可溯源、锁定波长范围宽等优点,在激光频率测量等精密测量领域具有广阔的应用前景.
引用这篇文章
谢建东, 闫丽萍, 陈本勇, 等. 可调谐激光器在宽波长范围内自动偏置锁频[J]. 光学精密工程, 2021, 29(02): 211-219. 谢建东, 闫立平, 陈本勇, 等. 宽波段外腔二极管激光器自动偏频锁定[J]. 光学精密工程, 2021, 29(02): 211 -219。)
关于作者
谢建东,浙江温州人,博士研究生,2015年获浙江理工大学学士学位,主要从事激光干涉绝对测距技术研究。 邮箱:xiejiandong@yeah.net
闫丽萍,四川内江人,教授,博士生导师。 分别于2000年和2003年获重庆大学学士和硕士学位光的频率与波长的关系,2014年获浙江科技大学博士学位。主要从事激光干涉精密测量技术研究。 邮箱:yanliping@zstu.edu.cn
编辑| 赵阳
欢迎课题组提交成果推广稿




