电子教材
点击图片,查看大图
▼▼▼▼
微课解读
图文解读
点击图片,查看大图
▼▼▼▼
同步练习
1.2.2数轴
基础检测
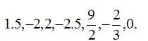
1、画出数轴并表示出下列有理数:
ua.net
2、在数轴上表示-4的点位于原点的边,与原点的距离
是个单位长度。
3、比较大小,在横线上填入“>”、“<”或“=”。
10;0-1;-1-2;-5-3;-2.52.5.
拓展提高
4.数轴上与原点距离是5的点有个,表示的数是。
5.已知x是整数,并且-3<x<4,那么在数轴上表示x的所有可能的数值有 。
6.在数轴上,点A、B分别表示-5和2,则线段AB的长度是 。
7.从数轴上表示-1的点出发,向左移动两个单位长度到点B,则点B表示的数是,再向右移动两个单位长度到达点C,则点C表示的数是。
8.数轴上的点A表示-3,将点A先向右移动7个单位长度数轴的三要素是什么?,再向左移动5个单位长度,那么终点到原点的距离是个单位长度。
1
参考答案
基础检测
1、画数轴时,数轴的三要素要包括完整。图略。
2、左,4 3、>>><<
拓展提高
4、两个,±5 5、 -2,-1数轴的三要素是什么?,0,1,2,3
6、 7 7、 -3,-1 8、1
——END——
声明:本站所有文章,如无特殊说明或标注,均为本站原创发布。任何个人或组织,在未征得本站同意时,禁止复制、盗用、采集、发布本站内容到任何网站、书籍等各类媒体平台。如若本站内容侵犯了原著者的合法权益,请联系我们进行处理。




