推荐:
1.
2.
3.
4.
6
导读:
核心:用过两点的直线的斜率公式式建立直线的方程。
直线的方程是在直角坐标系中对直线的代数刻画。
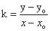
过点P。(x。,y。),斜率为k的直线l的表达式:y-y。=k(x—x。)。
表达式是方程:一方面表示直线上点的坐标都满足这个方程,另一方面表示满足这个方程的点都在这条直线上。
直线方程的类型很多:点斜式、斜截式、两点式、截距式、一般式等,教学时要分清主次轻重,不能“一视同仁”,要突出点斜式方程在直线方程中的核心地位。
相关:
研讨素材一
一、教材分析
教材截图
(考虑到研讨时部分教师未带有2019版课本,这里对教材截个图)
教材分析:
1.建立直线的点斜式方程
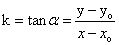
从几何角度看,给定一点P。和倾斜角α,则经过点Po,且倾斜角为α的直线l就唯一确定了,即任意一点P是否在直线l上,完全由P。和倾斜角α确定:直线l就是由满足P0P的倾斜角为α的点P所组成.从代数角度看,直线l上点P的坐标(x,y)与点P。的坐标(xo,yo)
及tanα之间有确定的关系,即
.教学时,要引导学生分别从几何角度、代数角度认识直线,也就是哪些是“形”,哪些是“数”,“形”与“数”的关系是什么
直线的斜率
完全刻画了直线相对于x轴的倾斜程度,但它还不是直线上点满足规律的一般表达。我们需要建立直线上任意一点P(x,y)中x与y之间的关系,这个关系是斜率公式的一个“变式”,它把特殊的点转化为一般的点,把特定的点转化为任意的点,教学时,要强调建立直线上所有点的代数表达,突出直线上点的任意性,经验表明,许多学生对“设P(x,y)是直线l上的任意一点”的含义并不理解,教学时要注意根据上述分析加强引导。
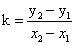
因为经过直线上任意两点的直线是同一条直线,所以它们的斜率相等,而过任意一点P(x,y)与点Po(xo,yo)的直线的斜率
,把
变形,就得到过点Po(xo,yo),斜率为k的直线l的方程y-yo=k(x-xo),这样就建立了直线的点斜式方程.之所以称其为点斜式,是因为直线由一点和斜率唯一确定.
由于点Po(xo,yo)也在直线上,当然它的坐标满足直线的方程y-yo=k(x-xo),把它们代入方程后,两边都为0,显然相等,这就是“边空”中问题的答案.
由上不难看出,推导过任意两点的直线斜率公式是建立直线点斜式方程的基础。这也是教材为什么先讲直线的倾斜角与斜率,然后讲直线的方程的缘由。因为没有对直线几何特征的代数刻画,没有斜率,我们无法建立直线的方程.
很显然,点斜式方程的前提是斜率存在。如果斜率不存在,就无法用点斜式方程表示直线,如与y轴平行或重合的直线方程的表示,实际上,此时的表示更为简洁.
2.直线的方程与方程的直线的关系
一般地,解析几何中研究的图形称为曲线,曲线用方程表示。曲线与方程的关系是解析几何的基石.虽然教材正文中没有明确提出曲线与方程的关系,但是其思想渗透在相关内容中.教材在得到关于直线/的代数关系式y-yo=k(x-xo)后指出,直线l上每一个点的坐标(x,y)都满足关系式y-yo=k(x-xo);反过来,坐标满足关系式y-yo=k(x-xo)的每一个点都在直线/上.这就是曲线的方程、方程的曲线中所说的“纯粹性”与“完备性”,也只有满足了纯粹性与完备性,我们才可以说,方程是直线的方程,直线是方程的直线,这样,直线与方程就一一对应了,即方程就是直线,直线就是方程,通过方程得到的性质就是直线的性质。在具体的问题中,“直线的方程”和“方程的直线”可以不做严格区分,例如,可以说“直线l:x+2y+1=0”.
对“纯粹性”与“完备性”的表述不是“绕口令”,它表达的是点、直线与坐标、方程之间的关系:点在直线上,坐标满足方程;坐标满足方程,点在直线上,教材在后续讲述圆、椭圆、双曲线和抛物线的方程时,还会反复提及。教学时,我们需要逐步认识曲线与方程的关系,学生对于它的理解不是一跋而就的.
3.例1的教学
例1是建立直线的点斜式方程,其中斜率由直线的倾斜角求得。虽然由一点和斜率(或倾斜角)可以唯一确定一条直线,但在实际操作画这条直线时,很难做到,我们需要根据“点”和“斜率”先建立直线点斜式方程,然后把方程的一个解作为坐标确定另外一个点,两点确定后,直线就可以画出了,教材要求画出这条直线的目的也在于此。
4.斜截式方程
斜截式方程是点斜式方程的一个特例,特别之处在于“截”,“截”是什么?“截”指的是截距,即直线l与y轴交点(0,b)中的b,教学时要提醒学生注意,截距不是距离,截距可正可负,甚至为0,而距离不能为负,斜截式方程仍是点斜式方程,只不过斜截式方程中的“点”为直线l与y轴的交点(0,b),这个点在y轴上,比较特殊。
5.关于第61页的“思考”
教材安排第61页“思考”的目的是引导学生建立直线的方程y=kx+b与一次函数之间的联系,对于y=kx+b,从函数的角度看,它表示的是自变量x与因变量y之间的对应关系;而从直线方程的角度看,它表示的是平面直角坐标系中一条直线上点的坐标所满足的代数关系。因此,一次函数y=kx+b和直线的斜截式方程y=kx+b比较,它们所讨论的问题是不一样的。但是,一次函数的解析式与直线的斜截式方程的形式一致,都是y=kx+b;一次函数y=kx+b的图象是一条直线,与方程y=kx+b的直线重合,因此,我们可以利用直线方程的观点解释一次函数y=kx+b图象的特点,一次函数y=2x-1,y=3x及y=-x+3的图象所对应的三条直线,它们的斜率不同,分别为2,3,-1;它们在y轴上的截距也不同,分别为-1,0,3.
6.例2的教学
斜截式方程y=kx+b中k,b的几何意义分别是直线的斜率,直线在y轴上的截距,在此基础上斜截式,我们容易得出例2的答案,教学时需要注意的是,只有斜率相等不能保证直线平行,还要说明它们过两个不同的点,否则有可能重合.
【本文大部分内容选自《普通高中教科书教师教学用书数学选择性必修第一册》,版权归原作者、原出版者所有,摘录、转载是为没有带纸质用书时研讨使用】
二、教学目标和目标解析
1.知识与技能:
(1)推导并掌握直线的点斜式、斜截式方程;
(2)能正确利用直线的点斜式、斜截式公式求直线方程;
(3)体会直线的斜截式方程与一次函数解析式的关系.
2.过程与方法:通过已知直线上的一点和直线的方向的代数表示,借助坐标法探究直线的点斜式方程,并进一步探究直线的斜截式方程斜截式,深化直线的几何特征与方程之间的关系.
3.情态与价值观:从学生熟悉的问题入手,深化直线的几何特征与代数表达之间的内在联系,进一步培养学生利用几何与代数转化的解析思想,渗透数学中普遍存在相互联系、相互转化等观点,使学生能用联系的观点看问题.
三、教学重点、难点
教学重点:推导直线的点斜式方程与斜截式方程;
教学难点:理解直线上点的几何特征与直线上点坐标满足的直线方程间的对应关系;
四、数学学科素养
直观想象、数学运算、逻辑推理和数学抽象
五、教学过程:见《研讨素材二》
相关:
研讨素材二
温馨提示:
需要课件的同事,请关注阳光备课,对话框回复“中学数学”,内容会不断更新。
研讨素材三
相关:
四、教材习题答案
根据文末留言的要求,考虑到高一学生预习的需要,这里提供教材的练习、习题及复习参考题等等习题答案,可能有错漏,仅供各位学生朋友参考。
END
全
文
完
—–全文到此为止。整理不易,如果喜欢,请点下“在看”和转发到朋友圈。
特别推荐一(点下列标题进入):
2.
3.
4.
5.
6.
7.
8.
9.
10.
11..
特别推荐二(点下列标题进入):
1.
2.
3.
4.
5.
6.
7.
特别推荐三(点下列标题进入):
1.;
2.
3.
4.
5.
6.
7.
8.
9.
10.
11.;
12.




